Learn better on this topic
Let Us Assess
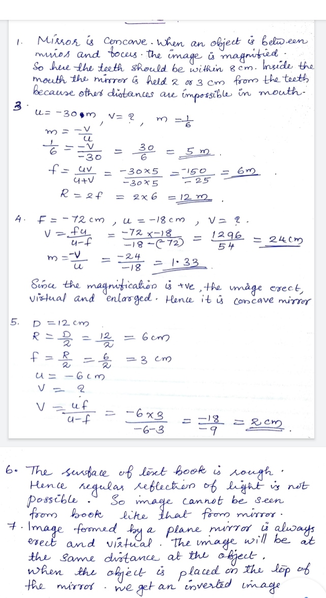
Reflection of light
Share
Report