Dashboard
Sign in
Sign in
Summarise
Related Videos
Learn better on this topic
Practice Questions
Take a Quiz
Summarise
Related Videos
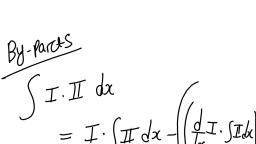
Integration
Like
Share
views
Pdf Description
Notes of 12th, Mathematics & Applied mathematics & Engineering maths Integration - Study Material
Show more
Gulzar Ahmad Dar
Teacher
Like this content?
Sign in to make your opinion count.
Sign in
Class Details:-
12th
|
Mathematics
Applied mathematics
Engineering maths
|
Join , Learn and Enjoy Mathematics
Recommended Content
(20)
Test
Integration
class-12th
Appliedmathematics
0 Likes
1161 Views
Copied to clipboard
Nripesh Kumar
Feb 02, 2022
Study Material
Integration
class-12th
Mathematics
0 Likes
4 Views
Copied to clipboard
Gulzar Ahmad Dar
May 21, 2022
Study Material
Integration
mathclass
Mathematics
0 Likes
19 Views
Copied to clipboard
Kanhu Panda
Dec 29, 2021
Study Material
IntegrationBySubstitution
class-12th
Mathematics
0 Likes
1 Views
Copied to clipboard
Gulzar Ahmad Dar
May 18, 2022
Study Material
integration
class-12th
Mathematics
0 Likes
24 Views
Copied to clipboard
Gulzar Ahmad Dar
May 17, 2022
Study Material
Substitute Method
class-12th
Mathematics
0 Likes
2 Views
Copied to clipboard
Gulzar Ahmad Dar
May 12, 2022
Test
Test 1
class-12th
Appliedmathematics
0 Likes
57 Views
Copied to clipboard
Nripesh Kumar
Jan 30, 2022
Study Material
Integration
class-12th
Maths
0 Likes
23 Views
Copied to clipboard
Avinash
Jan 22, 2022
Study Material
Notes
class-2nd
Mathematicsii
0 Likes
43 Views
Copied to clipboard
B
Brijesh
Feb 03, 2022
Study Material
Limits
class-11th
Mathematics
0 Likes
34 Views
Copied to clipboard
S
Subhash Kale
Feb 07, 2022
Study Material
(Chapter 1-2) Math 2
class-1st
Appmath2
0 Likes
12 Views
Copied to clipboard
AJEET SINGH KUSHWAHA
Feb 04, 2022
Study Material
(Chapter 1-2) Math2
class-1st
Appmath2
0 Likes
56 Views
Copied to clipboard
AJEET SINGH KUSHWAHA
Feb 04, 2022
Study Material
Exercise 3.2 (A)
b-sc
Mathematics
1 Likes
306 Views
Copied to clipboard
Mr. Ravi Mhaske
Sep 03, 2021
Study Material
7.32 NCERT Exercise
class-6th
Mathematics
0 Likes
0 Views
Copied to clipboard
m
manish gupta
Mar 27, 2022
Study Material
7.27 NCERT Exercise
class-6th
Mathematics
0 Likes
0 Views
Copied to clipboard
m
manish gupta
Mar 27, 2022
Study Material
7.30 NCERT Exercise 7.3
class-6th
Mathematics
0 Likes
0 Views
Copied to clipboard
m
manish gupta
Mar 27, 2022
Study Material
7.33 NCERT Exer
class-6th
Mathematics
0 Likes
0 Views
Copied to clipboard
m
manish gupta
Mar 27, 2022
Study Material
7.31 NCERT Exercise
class-6th
Mathematics
0 Likes
0 Views
Copied to clipboard
m
manish gupta
Mar 27, 2022
Study Material
7.25 NCERT Exercise 7
class-6th
Mathematics
0 Likes
0 Views
Copied to clipboard
m
manish gupta
Mar 27, 2022
Study Material
7.29 NCERT Exercise 7.3
class-6th
Mathematics
0 Likes
0 Views
Copied to clipboard
m
manish gupta
Mar 27, 2022
More from Gulzar Ahmad Dar
(20)
Test
Parts and Whole
class-5th
Appliedmathematics
0 Likes
0 Views
Copied to clipboard
Gulzar Ahmad Dar
Jan 08, 2024
Test
Exponents and Powers
class-8th
Mathematics
0 Likes
0 Views
Copied to clipboard
Gulzar Ahmad Dar
Jan 07, 2024
Lecture
Lecture 2022-09-23
class-11th
Mathematics
0 Likes
7 Views
Copied to clipboard
Gulzar Ahmad Dar
Sep 23, 2022
Lecture
Lecture 2022-06-22
class-12th
Mathematics
0 Likes
7 Views
Copied to clipboard
Gulzar Ahmad Dar
Jun 22, 2022
Lecture
Integration By Parts
class-12th
Mathematics
0 Likes
5 Views
Copied to clipboard
Gulzar Ahmad Dar
Jun 20, 2022
Test
Sets, Complex Numbers and Quadratic Equations and 3 others
class-11th
Mathematics
0 Likes
1 Views
Copied to clipboard
Gulzar Ahmad Dar
Jun 09, 2022
Lecture
Lecture 2022-06-01
class-12th
Mathematics
0 Likes
6 Views
Copied to clipboard
Gulzar Ahmad Dar
Jun 01, 2022
Study Material
Integration
class-12th
Mathematics
0 Likes
5 Views
Copied to clipboard
Gulzar Ahmad Dar
Jun 01, 2022
Lecture
Lecture 2022-05-31
mcaentrence
Maths
0 Likes
1 Views
Copied to clipboard
Gulzar Ahmad Dar
May 31, 2022
Study Material
Question paper
mcaentrence
Maths
0 Likes
8 Views
Copied to clipboard
Gulzar Ahmad Dar
May 31, 2022
Study Material
Question paper
mcaentrence
Maths
0 Likes
8 Views
Copied to clipboard
Gulzar Ahmad Dar
May 31, 2022
Study Material
1017.pdf
mcaentrence
Maths
0 Likes
14 Views
Copied to clipboard
Gulzar Ahmad Dar
May 31, 2022
Lecture
Lecture 2022-05-31
class-12th
Mathematics
0 Likes
6 Views
Copied to clipboard
Gulzar Ahmad Dar
May 31, 2022
Study Material
Integration
class-12th
Mathematics
0 Likes
4 Views
Copied to clipboard
Gulzar Ahmad Dar
May 31, 2022
Lecture
Lecture 2022-05-30
class-12th
Mathematics
0 Likes
12 Views
Copied to clipboard
Gulzar Ahmad Dar
May 30, 2022
Study Material
integration Ex 7.4
class-12th
Mathematics
0 Likes
2 Views
Copied to clipboard
Gulzar Ahmad Dar
May 30, 2022
Lecture
Lecture 2022-05-27
class-12th
Mathematics
0 Likes
3 Views
Copied to clipboard
Gulzar Ahmad Dar
May 27, 2022
Study Material
Integration
class-12th
Mathematics
0 Likes
3 Views
Copied to clipboard
Gulzar Ahmad Dar
May 27, 2022
Lecture
Lecture 2022-05-26
class-12th
Mathematics
0 Likes
3 Views
Copied to clipboard
Gulzar Ahmad Dar
May 26, 2022
Study Material
Integration .
class-12th
Mathematics
0 Likes
3 Views
Copied to clipboard
Gulzar Ahmad Dar
May 26, 2022
Class Details
12th
Mathematics
Applied mathematics
Engineering maths
Join , Learn and Enjoy Mathematics
Recommended (20)
Test
Integration
class-12th
Appliedmathematics
0 Likes
1161 Views
Copied to clipboard
Nripesh Kumar
Feb 02, 2022
Study Material
Integration
class-12th
Mathematics
0 Likes
4 Views
Copied to clipboard
Gulzar Ahmad Dar
May 21, 2022
Study Material
Integration
mathclass
Mathematics
0 Likes
19 Views
Copied to clipboard
Kanhu Panda
Dec 29, 2021
Study Material
IntegrationBySubstitution
class-12th
Mathematics
0 Likes
1 Views
Copied to clipboard
Gulzar Ahmad Dar
May 18, 2022
Study Material
integration
class-12th
Mathematics
0 Likes
24 Views
Copied to clipboard
Gulzar Ahmad Dar
May 17, 2022
Study Material
Substitute Method
class-12th
Mathematics
0 Likes
2 Views
Copied to clipboard
Gulzar Ahmad Dar
May 12, 2022
Test
Test 1
class-12th
Appliedmathematics
0 Likes
57 Views
Copied to clipboard
Nripesh Kumar
Jan 30, 2022
Study Material
Integration
class-12th
Maths
0 Likes
23 Views
Copied to clipboard
Avinash
Jan 22, 2022
Study Material
Notes
class-2nd
Mathematicsii
0 Likes
43 Views
Copied to clipboard
B
Brijesh
Feb 03, 2022
Study Material
Limits
class-11th
Mathematics
0 Likes
34 Views
Copied to clipboard
S
Subhash Kale
Feb 07, 2022
Study Material
(Chapter 1-2) Math 2
class-1st
Appmath2
0 Likes
12 Views
Copied to clipboard
AJEET SINGH KUSHWAHA
Feb 04, 2022
Study Material
(Chapter 1-2) Math2
class-1st
Appmath2
0 Likes
56 Views
Copied to clipboard
AJEET SINGH KUSHWAHA
Feb 04, 2022
Study Material
Exercise 3.2 (A)
b-sc
Mathematics
1 Likes
306 Views
Copied to clipboard
Mr. Ravi Mhaske
Sep 03, 2021
Study Material
7.32 NCERT Exercise
class-6th
Mathematics
0 Likes
0 Views
Copied to clipboard
m
manish gupta
Mar 27, 2022
Study Material
7.27 NCERT Exercise
class-6th
Mathematics
0 Likes
0 Views
Copied to clipboard
m
manish gupta
Mar 27, 2022
Study Material
7.30 NCERT Exercise 7.3
class-6th
Mathematics
0 Likes
0 Views
Copied to clipboard
m
manish gupta
Mar 27, 2022
Study Material
7.33 NCERT Exer
class-6th
Mathematics
0 Likes
0 Views
Copied to clipboard
m
manish gupta
Mar 27, 2022
Study Material
7.31 NCERT Exercise
class-6th
Mathematics
0 Likes
0 Views
Copied to clipboard
m
manish gupta
Mar 27, 2022
Study Material
7.25 NCERT Exercise 7
class-6th
Mathematics
0 Likes
0 Views
Copied to clipboard
m
manish gupta
Mar 27, 2022
Study Material
7.29 NCERT Exercise 7.3
class-6th
Mathematics
0 Likes
0 Views
Copied to clipboard
m
manish gupta
Mar 27, 2022
More from Teacher (20)
Test
Parts and Whole
class-5th
Appliedmathematics
0 Likes
0 Views
Copied to clipboard
Gulzar Ahmad Dar
Jan 08, 2024
Test
Exponents and Powers
class-8th
Mathematics
0 Likes
0 Views
Copied to clipboard
Gulzar Ahmad Dar
Jan 07, 2024
Lecture
Lecture 2022-09-23
class-11th
Mathematics
0 Likes
7 Views
Copied to clipboard
Gulzar Ahmad Dar
Sep 23, 2022
Lecture
Lecture 2022-06-22
class-12th
Mathematics
0 Likes
7 Views
Copied to clipboard
Gulzar Ahmad Dar
Jun 22, 2022
Lecture
Integration By Parts
class-12th
Mathematics
0 Likes
5 Views
Copied to clipboard
Gulzar Ahmad Dar
Jun 20, 2022
Test
Sets, Complex Numbers and Quadratic Equations and 3 others
class-11th
Mathematics
0 Likes
1 Views
Copied to clipboard
Gulzar Ahmad Dar
Jun 09, 2022
Lecture
Lecture 2022-06-01
class-12th
Mathematics
0 Likes
6 Views
Copied to clipboard
Gulzar Ahmad Dar
Jun 01, 2022
Study Material
Integration
class-12th
Mathematics
0 Likes
5 Views
Copied to clipboard
Gulzar Ahmad Dar
Jun 01, 2022
Lecture
Lecture 2022-05-31
mcaentrence
Maths
0 Likes
1 Views
Copied to clipboard
Gulzar Ahmad Dar
May 31, 2022
Study Material
Question paper
mcaentrence
Maths
0 Likes
8 Views
Copied to clipboard
Gulzar Ahmad Dar
May 31, 2022
Study Material
Question paper
mcaentrence
Maths
0 Likes
8 Views
Copied to clipboard
Gulzar Ahmad Dar
May 31, 2022
Study Material
1017.pdf
mcaentrence
Maths
0 Likes
14 Views
Copied to clipboard
Gulzar Ahmad Dar
May 31, 2022
Lecture
Lecture 2022-05-31
class-12th
Mathematics
0 Likes
6 Views
Copied to clipboard
Gulzar Ahmad Dar
May 31, 2022
Study Material
Integration
class-12th
Mathematics
0 Likes
4 Views
Copied to clipboard
Gulzar Ahmad Dar
May 31, 2022
Lecture
Lecture 2022-05-30
class-12th
Mathematics
0 Likes
12 Views
Copied to clipboard
Gulzar Ahmad Dar
May 30, 2022
Study Material
integration Ex 7.4
class-12th
Mathematics
0 Likes
2 Views
Copied to clipboard
Gulzar Ahmad Dar
May 30, 2022
Lecture
Lecture 2022-05-27
class-12th
Mathematics
0 Likes
3 Views
Copied to clipboard
Gulzar Ahmad Dar
May 27, 2022
Study Material
Integration
class-12th
Mathematics
0 Likes
3 Views
Copied to clipboard
Gulzar Ahmad Dar
May 27, 2022
Lecture
Lecture 2022-05-26
class-12th
Mathematics
0 Likes
3 Views
Copied to clipboard
Gulzar Ahmad Dar
May 26, 2022
Study Material
Integration .
class-12th
Mathematics
0 Likes
3 Views
Copied to clipboard
Gulzar Ahmad Dar
May 26, 2022
Enroll Now
Enroll Now
Recommended Content
(20)
Test
Integration
class-12th
Appliedmathematics
0 Likes
1161 Views
Copied to clipboard
Nripesh Kumar
Feb 02, 2022
Study Material
Integration
class-12th
Mathematics
0 Likes
4 Views
Copied to clipboard
Gulzar Ahmad Dar
May 21, 2022
Study Material
Integration
mathclass
Mathematics
0 Likes
19 Views
Copied to clipboard
Kanhu Panda
Dec 29, 2021
Study Material
IntegrationBySubstitution
class-12th
Mathematics
0 Likes
1 Views
Copied to clipboard
Gulzar Ahmad Dar
May 18, 2022
Study Material
integration
class-12th
Mathematics
0 Likes
24 Views
Copied to clipboard
Gulzar Ahmad Dar
May 17, 2022
Study Material
Substitute Method
class-12th
Mathematics
0 Likes
2 Views
Copied to clipboard
Gulzar Ahmad Dar
May 12, 2022
Test
Test 1
class-12th
Appliedmathematics
0 Likes
57 Views
Copied to clipboard
Nripesh Kumar
Jan 30, 2022
Study Material
Integration
class-12th
Maths
0 Likes
23 Views
Copied to clipboard
Avinash
Jan 22, 2022
Study Material
Notes
class-2nd
Mathematicsii
0 Likes
43 Views
Copied to clipboard
B
Brijesh
Feb 03, 2022
Study Material
Limits
class-11th
Mathematics
0 Likes
34 Views
Copied to clipboard
S
Subhash Kale
Feb 07, 2022
Study Material
(Chapter 1-2) Math 2
class-1st
Appmath2
0 Likes
12 Views
Copied to clipboard
AJEET SINGH KUSHWAHA
Feb 04, 2022
Study Material
(Chapter 1-2) Math2
class-1st
Appmath2
0 Likes
56 Views
Copied to clipboard
AJEET SINGH KUSHWAHA
Feb 04, 2022
Study Material
Exercise 3.2 (A)
b-sc
Mathematics
1 Likes
306 Views
Copied to clipboard
Mr. Ravi Mhaske
Sep 03, 2021
Study Material
7.32 NCERT Exercise
class-6th
Mathematics
0 Likes
0 Views
Copied to clipboard
m
manish gupta
Mar 27, 2022
Study Material
7.27 NCERT Exercise
class-6th
Mathematics
0 Likes
0 Views
Copied to clipboard
m
manish gupta
Mar 27, 2022
Study Material
7.30 NCERT Exercise 7.3
class-6th
Mathematics
0 Likes
0 Views
Copied to clipboard
m
manish gupta
Mar 27, 2022
Study Material
7.33 NCERT Exer
class-6th
Mathematics
0 Likes
0 Views
Copied to clipboard
m
manish gupta
Mar 27, 2022
Study Material
7.31 NCERT Exercise
class-6th
Mathematics
0 Likes
0 Views
Copied to clipboard
m
manish gupta
Mar 27, 2022
Study Material
7.25 NCERT Exercise 7
class-6th
Mathematics
0 Likes
0 Views
Copied to clipboard
m
manish gupta
Mar 27, 2022
Study Material
7.29 NCERT Exercise 7.3
class-6th
Mathematics
0 Likes
0 Views
Copied to clipboard
m
manish gupta
Mar 27, 2022
More from Gulzar Ahmad Dar
(20)
Test
Parts and Whole
class-5th
Appliedmathematics
0 Likes
0 Views
Copied to clipboard
Gulzar Ahmad Dar
Jan 08, 2024
Test
Exponents and Powers
class-8th
Mathematics
0 Likes
0 Views
Copied to clipboard
Gulzar Ahmad Dar
Jan 07, 2024
Lecture
Lecture 2022-09-23
class-11th
Mathematics
0 Likes
7 Views
Copied to clipboard
Gulzar Ahmad Dar
Sep 23, 2022
Lecture
Lecture 2022-06-22
class-12th
Mathematics
0 Likes
7 Views
Copied to clipboard
Gulzar Ahmad Dar
Jun 22, 2022
Lecture
Integration By Parts
class-12th
Mathematics
0 Likes
5 Views
Copied to clipboard
Gulzar Ahmad Dar
Jun 20, 2022
Test
Sets, Complex Numbers and Quadratic Equations and 3 others
class-11th
Mathematics
0 Likes
1 Views
Copied to clipboard
Gulzar Ahmad Dar
Jun 09, 2022
Lecture
Lecture 2022-06-01
class-12th
Mathematics
0 Likes
6 Views
Copied to clipboard
Gulzar Ahmad Dar
Jun 01, 2022
Study Material
Integration
class-12th
Mathematics
0 Likes
5 Views
Copied to clipboard
Gulzar Ahmad Dar
Jun 01, 2022
Lecture
Lecture 2022-05-31
mcaentrence
Maths
0 Likes
1 Views
Copied to clipboard
Gulzar Ahmad Dar
May 31, 2022
Study Material
Question paper
mcaentrence
Maths
0 Likes
8 Views
Copied to clipboard
Gulzar Ahmad Dar
May 31, 2022
Study Material
Question paper
mcaentrence
Maths
0 Likes
8 Views
Copied to clipboard
Gulzar Ahmad Dar
May 31, 2022
Study Material
1017.pdf
mcaentrence
Maths
0 Likes
14 Views
Copied to clipboard
Gulzar Ahmad Dar
May 31, 2022
Lecture
Lecture 2022-05-31
class-12th
Mathematics
0 Likes
6 Views
Copied to clipboard
Gulzar Ahmad Dar
May 31, 2022
Study Material
Integration
class-12th
Mathematics
0 Likes
4 Views
Copied to clipboard
Gulzar Ahmad Dar
May 31, 2022
Lecture
Lecture 2022-05-30
class-12th
Mathematics
0 Likes
12 Views
Copied to clipboard
Gulzar Ahmad Dar
May 30, 2022
Study Material
integration Ex 7.4
class-12th
Mathematics
0 Likes
2 Views
Copied to clipboard
Gulzar Ahmad Dar
May 30, 2022
Lecture
Lecture 2022-05-27
class-12th
Mathematics
0 Likes
3 Views
Copied to clipboard
Gulzar Ahmad Dar
May 27, 2022
Study Material
Integration
class-12th
Mathematics
0 Likes
3 Views
Copied to clipboard
Gulzar Ahmad Dar
May 27, 2022
Lecture
Lecture 2022-05-26
class-12th
Mathematics
0 Likes
3 Views
Copied to clipboard
Gulzar Ahmad Dar
May 26, 2022
Study Material
Integration .
class-12th
Mathematics
0 Likes
3 Views
Copied to clipboard
Gulzar Ahmad Dar
May 26, 2022
https://teachmint.storage.googleapis.com/public/178317488/StudyMaterial/b2433909-e4e8-4a64-afc4-d8072d5e1ba4.pdf
6287adead1456f7822dc9d16
3c677a54-25ac-42bf-b3cd-932bff3a1fb6
Practice Questions
Take a Quiz
Share
WhatsApp
Facebook
X
Email
Copy